色彩和光的知识
2. 基本概念
2.4 色度测定
2.4.4.1 三刺激值色度测定
2.4.4.1.1 CIE 1931 Yxy色度图
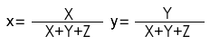
XYZ三刺激值对定义一种颜色是非常有用的,但结果却不是很容易理解。 因此,1931年,CIE在两维方向上定义了一个独立于亮度的色空间,这就是Yxy色空间。Yxy色空间中,Y表示亮度,x和y是从三刺激值XYZ中计算出的色度值。计算公式如下:

1931系统的缺点是图表上相等的距离,不表示相同的色彩感知差别,因为人眼的感知是非线性的。
![]()
XYZ三刺激值对定义一种颜色是非常有用的,但结果却不是很容易理解。 因此,1931年,CIE在两维方向上定义了一个独立于亮度的色空间,这就是Yxy色空间。Yxy色空间中,Y表示亮度,x和y是从三刺激值XYZ中计算出的色度值。计算公式如下:

1931系统的缺点是图表上相等的距离,不表示相同的色彩感知差别,因为人眼的感知是非线性的。