皮肤分析软件
CM-SA2
CM-SA2是CM-SA的升级产品,后者在全球化妆品制造商和研究机构中受到高度评价。与柯尼卡美能达分光测色计配合使用时,CM-SA2可同时测量皮肤颜色、黑色素指数和血红蛋白指数,这些参数在化妆品、功能性食品及制药市场中的防晒和色斑研究中具有重要应用。
除了CM-SA所支持的日语和英语外,CM-SA2新增了对中文(包括简体和繁体)的支持,满足亚洲市场的客户对于美白、防晒和淡斑的强烈需求。考虑购买皮肤分析软件CM-SA2的客户可点击下载最新版本 并免费试用 30 天。试用期结束后,必须购买许可证才能继续使用CM-SA2。

通过相机取景器定位测量点并保存图像
与分光测色计CM-17d配合使用时,相机取景器可让您在确认区域并避开痣或斑点的同时,轻松对准测量位置。此外,测量时拍摄图像将与测量数据一同保存,让您可以通过查看图像来核实测量点。

测量时,分光测色计必须连接至CM-SA2 软件,才能处理数据和保存图像。如果未连接,这些功能将不可用。
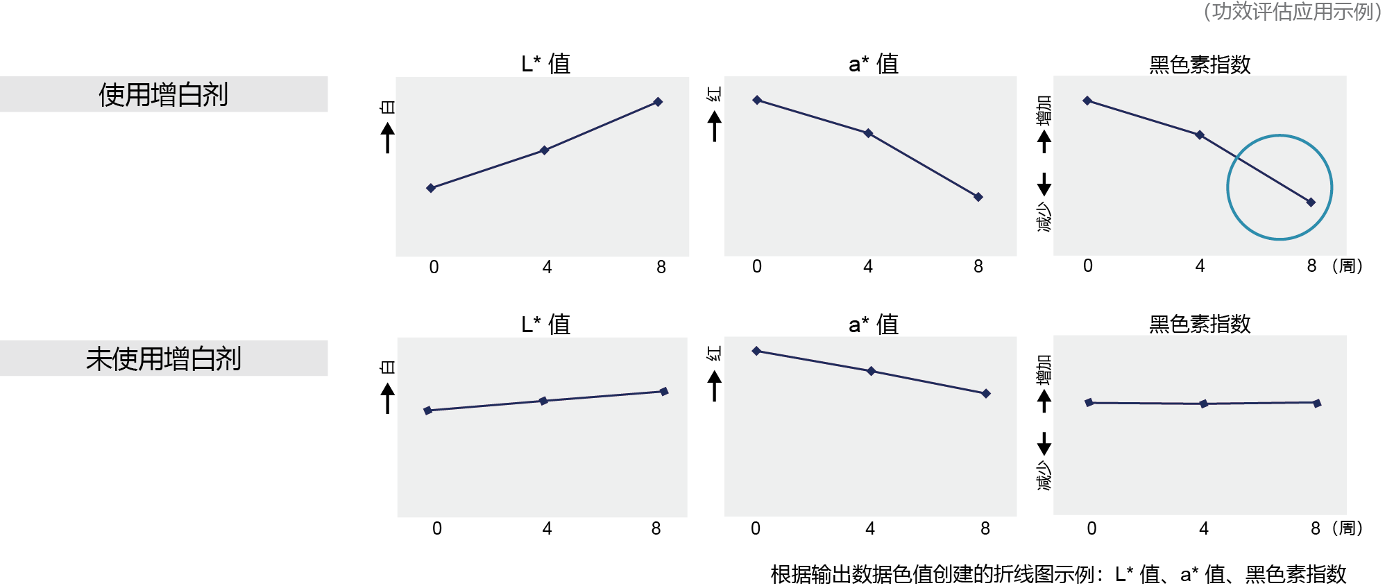
基于肤色和黑色素指数的功效评估
L* 值:白度增加,a* 值:红度减少。仅凭这些颜色信息无法确定增白剂的功效。
因此,通过查看黑色素指数数据,可以看出黑色素指数随着增白剂的使用而降低。

可自定义的列表显示界面
ITA°和测量条件等项目可以轻松添加或移除,让您能够根据测量项目将其整理成清晰的列表。此外,测量结果可以CSV文本格式输出,以便使用Excel®或其他电子表格应用进行进一步分析或数据管理。

用于确认肤色类型的ITA°图表
可显示用于评估肤色和颜色的ITA°(个体类型角)图表。测量数据会绘制在图表上,让您能够一目了然地轻松识别其所属的组别。

兼容仪器
| 型号(*1) | CM-17d/CM-16d、CM-700d/CM-600d、CM-2600d/CM-2500d |
|---|
主要规格
| 皮肤数据显示 | 黑色素指数 血红蛋白指数 [总血红蛋白(氧化+还原)指数] 血氧饱和度指数(%) [血红蛋白氧饱和度指数(%)] ITA° [个体类型角] (*2)、ITA° 分类 |
|---|---|
| 色度值显示 | L*、a*、b*、C*、h、Munsell(色调、亮度、饱和度)(*3) |
| 图形显示 | 色调-色值图、血红蛋白指数-黑色素指数图、 ITA° 图表、二维用户指定坐标轴图表 (*4) |
| 观察角(*5) | 2°, 10° |
| 光源(*5) | C, D65 |
| 数据处理 | 以CM-SA2原始格式保存/读取数据 以文本(CSV)格式保存数据 [黑色素指数、血红蛋白指数、血氧饱和度指数(%)、 L*、a*、b*、C*、h、Munsell 值(色调、色值、 色度)、ITA°、光谱反射率(400-700 nm)(*6)] |
| 显示语言 | 日语、英语、中文(简体和繁体)、韩语 |
| 其他 | 保存并显示取景器图像CM-17d (*7) |
*1:仅限采用新版固件的仪器。旧版固件的仪器可能不受支持。点击此处查看兼容仪器的固件版本。
*2:ITA° 值是基于 2° 观察角和 D65 标准光源计算得出的。
*3:Munsell 数据是基于 2° 观察角和 C 标准光源计算得出的。
*4:各坐标轴的色度值可从 L*、a*、b*、C* 和 h 中选择。
*5:可从四种条件中选择光源/观察角。(2°/C, 2°/D65, 10°/C, 10°/D65)
*6:输出的光谱反射率数据是在 SCI(包含镜面反射分量)模式下获得的反射率。
*7:仅当启用“保存取景器图像”功能进行测量时,才会保存 CM-17d的取景器图像。保存的图像会与测量数据关联,以供后续显示。
系统要求 (*8)
| 操作系统: | Windows®11 Pro |
|---|---|
| CPU: | Intel® Core i5 2.7 GHz 或更高处理器(推荐) |
| 内存: | 2GB或以上(推荐 4 GB 或以上) |
| 存储: | 10GB或以上 |
| USB端口: | 连接仪器所需 |
| 外部网络连接: | 激活软件许可证所需 |
*8:计算机系统的硬件必须满足或超过所用兼容操作系统的推荐系统要求或上述规格中的较高者测量时,分光测色计必须连接至 CM-SA2 软件,才能采集和处理数据。
如果在测量过程中仪器未连接至 CM-SA2 软件,则无法在采集数据后将其上传至 CM-SA2 软件进行处理。




产品询价
维修服务
资料下载
联系我们
应用案例
